Microfluidics for Cell Biology
The Advantages of Flow Control for Cell biology and Microscopy
- Shear stress control
- Automation of multiple fluid delivery
- Long term perfusion
What are the advantages of microfluidics in biology?
The development of microfluidics has brought many advantages for biological research. Indeed, due to the miniaturization and the automation of the setups, the consumption of sample and reagent is largely decreased, the experiment times are considerably reduced and the global costs of the applications are minimized. Moreover, working with small quantities allows better carry out separations and detection with high resolution and sensitivity at reduced costs.
Finally, thanks to this new generation of techniques and equipments, new capabilities are offered for biology research since microfluidics allows to obtain more accurate results, to reduce detection limits and even to perform multiple analyses simultaneously.
To learn more about it, feel free to reed our white paper about microfluidic.
Main applications of microfluidics in cell biology
RNA and DNA Hybridization
For decades, in situ hybridization has been used with greater frequency to capture the localization, structure and expression of specific DNA and RNA sequences within tissues. The high sensitivity and specificity of this technique relies on the hybridization of labelled oligonucleotide probes to targeted DNA or RNA sequences within tissues. Chromosomal microdeletion, amplification, structure, translocation and expression can be easily detected.
Compared to PCR analysis, Northern Blotting or a DNA microarray performed on lysed cells, hybridization provides spatial information as specific RNA and DNA are detected within tissues. It has significantly improved gene mapping, cytogenetics and various diagnostic techniques (oncogenic, prenatal, viral infection, etc.).
Recently, with the use of microfluidic for cell biology, a temporal dimension was added to the technology, as it further evolved to be performed on living cells. The spatio-temporal expression, degradation and storage of RNA molecules can now be thoroughly investigated by real time imaging of the hybridization of labelled oligonucleotides in living cells.
Drug Combination and Long-Term Perfusion
In various therapeutic areas (glaucoma, vascular, HIV, oncology), a combination of drugs is typically found to be more effective for disease treatment. Oncology, in particular, has paved the way for this approach. The emergence of next-generation sequencing technology profiling has revealed the heterogeneity in many cancers at the origin of the differential response to treatment. As a result, therapeutic strategies are evolving towards multi-targeted drug combinations that effectively inhibit the cancer cells and block the emergence of drug resistance while selectively incurring minimal side effects on healthy cells.
Drug combination therapy is not straight forward as in many cases the results do not equal the sum of the parts. Cross-reactions are observed and fall into 5 categories: low risk & synergy, low risk & no synergy, caution, unsafe, and dangerous. The contribution and dosage of each active molecule should be closely investigated in terms of dose, frequency and duration to evaluate the efficacy of the drug combination.
Therefore, microfluidics for cell biology holds great promise in cancer diagnosis and also serves as an emerging tool for understanding cancer biology. Microfluidics can be a valuable tool in cancer investigation due to its high sensitivity, high throughput, less material-consumption, low cost, and enhanced spatio-temporal control.
Immunostaining
Immunostaining experiments are mult-istep protocols to detect specific antigens in biological samples. The sample is successively incubated or exposed to fixation agents, washing buffers, and probes.
In conventional protocols on petri dishes or well plates, fluid deliveries are performed manually using pipettes. Solutions are directly added to the sample.
Transferring protocols from a Petri dish to a microfluidic format usually requires some minor adjustments, as cells or tissue samples are exposed to solutions differently. Therefore, the use of microfluidic for cell biology provides many advantages by replacing the use of Petri dishes with microfluidic chambers (closed systems). Consequently, solutions cannot be deposited directly on the top of the cells but are perfused over the sample at a controlled flow rate, reaching all cells homogeneously. The use of a rotary valve with a perfusion system enables one to perfuse different solutions at given time points in the chip or chamber. In addition, automating the sequential delivery of solutions saves time and avoids creating bubbles inside the chips by disconnecting and reconnecting the traditional pump to the chip.
Resources
-
Microfluidics Case Studies CNRS/UTC: study of a liver-on-a-chip model Read more
-
Expert Reviews: Basics of Microfluidics Why Control Shear Stress in Cell Biology? Read more
-
Microfluidic Application Notes Cancer Cell Analysis Made Easy with Aria: cell Capture and Labeling Read more
-
Microfluidic Application Notes Peristaltic Pump vs Pressure-Based Microfluidic Flow Control for Organ on Chip applications Read more
How important is the microlfluidic flow control in cell biology?
In drug discovery, it‘s important to control the flow rate of the sample used. As multiple formulations are tested, experimenters must be able to control flow rate while keeping the same level control of fluid handling at each stage of the experiment. DNA and RNA hybridization are often performed under a microscope. Manual injection over a microscope can be risky for the following reasons:
- A touch of pipette cone can misplace the dish and misrecord the position
- Samples can be flushed away during pipetting
- Liquid can be spilled over the microscope
Flow Controllers Available on the Market
Syringe Pumps
Multiple flow control technologies are available for sub-millimeter range fluid management. Syringe pumps are commonly used for fluid control. However, in microfluidics, particularly in microfluidics for cell biology, the use of syringe pumps is often problematic because the flow is not constant. This discontinuity is due to the mechanical system that creates an oscillating flow.
Manual Injection
Current methods for multiple fluid delivery, where microscopy techniques are simultaneously required and mostly made by manual pipetting action include , Immunolabeling, and DNA and RNA hybridization.. Manual injection can lead to uncontrolled and non-homogeneous fluid velocity, which can damage samples.
| Pipette | Aria | |
|---|---|---|
| Type of injections | Abrupt injections (up to 1mL in few seconds) Disparate injections Turbulent flow | Smooth & controled injections Identical injections Laminar flow |
| Geometry at injecion tip | Conic shape: Important shear strain Unhomogeneous fluid velocity | Straight shape: No modification at the injection tip |
Fluigent Pressure-Based Flow Control
As the demand for microfluidic pumps with higher flow stability, fast response time, versatility, and automation capabilities has increased, pressure controllers have become the device of choice for many users.
The working principle of such pumps is to pressurize the sample reservoirs to control the pressure drop between the inlet and the outlet of the microfluidic system. The responsiveness of the generated flow rate depends on the responsiveness of the pressure pump.
To overcome these issues, Fluigent’s Aria automates multiple fluid deliveries. The sample is preserved as the flow rate is controlled. Reproducibility increases as inter and intra operator variability are eliminated.
Shear stress physical definition
Shear-stress is a tangential force applied on a surface. Fluid shear stress depends on fluid velocity and viscosity. Therefore, it can be simplified in the case of Newtonian fluids as the following equation:
τ = η * (∂v/∂z)
where η is the viscosity (g/cm*s = Poise), ∂v/∂z is the velocity gradient or shear rate (s).
In a microfluidic channel with laminar flow, the velocity profile is parabolic. The maximum velocity at the center and the minimum at the channel walls. Resulting shear stress is highest at the walls and lowest at the center of the channel. (figure 1).
Use our Shear Stress Calculator to determine your experimental parameters. Define the flow rate or the pressure to be applied in your system, the dimension of microfluidic chip and tubing length to apply the correct controlled shear stress for your cell culture under flow conditions.
Shear Stress Effects on Cells
In common in-vitro experiments, cells are cultured on petri dishes with no media flow. This is an incomplete model that does not completely capture the cellular behavior. In living organisms, cells are continuously exposed to shear stress from fluid movement. Incorporating shear stress into in vitro systems is essential for several reasons:
- Mechanical Stimulation: Fluid flow produces a mechanical stimulus, that promotes cell elongation to the direction of the flow —especially in endothelial and other adherent cell cultures (Figure 2. Cell morphology and organization changes under shear stress) [1]

- Endothelial Cell Response: Endothelial cells are particularly responsive to shear stress, undergoing cytoskeletal remodeling [2]. This response helps maintain vascular homeostasis and influences processes such as angiogenesis and vessel remodeling [3]
- Cancer Cell Dynamics: In cancer research, shear stress is known to contribute to the metastatic cascade processes, such as extravasation and interstitial migration. The average intravascular speed of tumor cells under luminal flow has been observed to increase to ~ 12.5 μm/h, as compared to ~ 9.4 μm/h under static conditions [4].
- Improve Physiological Relevance and Precision: HUVECs cultured under laminar flow, compared to those under orbital flow, exhibit more physiologically relevant tissue factor expression [5].
- Tissue-Specific Shear Stress: Different tissues experience distinct physiological shear stress levels, which is important to consider when designing and modeling in vitro experiments.
| Cell types | Shear stress value (Pa) | Shear stress value (dyn/cm2) |
|---|---|---|
| Arteries [6] | 1-2 | 10-20 |
| Veins [6] | 0.1 -0.6 | 1-6 |
| Mouse embryonic kidney [7] | 0.04 – 0.5 | 0.4 – 5 |
| Human kidney [8] | 0.03 -0.12 | 0.3 -1.2 |
| Alveolar epithelial cells [9] | 0.4 -1.5 | 4 -15 |
How to Control Shear Stress in Cellular Microphysiological Systems
With the development of microfluidics, enabling precise control of flow rates and microchannel geometries, researchers are able to fine-tune the shear stress applied to cells. Early research demonstrated that specific levels of shear stress can influence endothelial cell structure and function [10].
Over the past 20 years, advancements in microfluidics have deepened our understanding of these effects. More recently, the development of organ-on-a-chip models—where functional tissues are cultured within microfluidic chips—has shown that controlled mechanical stimulation is crucial for regulating cell behavior and modulating responses to infectious agents and medicines [11].
Key variables for controlling shear stress include:
- Precise Flow Rate Control: Maintaining a stable and reproducible flow rate over long periods ensures consistent shear stress exposure.
- Microchannel Geometry: The shape, width, and height of microchannels directly influence shear stress distribution across the cells.
- Fluid Viscosity: The viscosity of the culture medium affects shear stress. Variations in BSA content, chemical additives and temperature can affect the media viscosity.
- Pulsatile vs. Steady Flow: Mimicking physiological conditions requires dynamic flow patterns (e.g., pulsatile or oscillatory flow).
- Cell Seeding Density and Adhesion: The confluence and attachment of cells impact their response to shear stress; optimizing seeding conditions ensures uniform exposure.
- Substrate Stiffness and Elasticity: The mechanical properties of the microfluidic chip substrate influence how cells perceive shear forces.
Related ressources
Microfluidic recirculation system
Read more- Support & Tools
Shear Stress Calculator
Read more - Expert Reviews: Basics of Microfluidics
Passive and active mechanical stimulation in microfluidic systems
Read more - Microfluidic Application Notes
Development of a human gut-on-chip to assess the effect of shear stress on intestinal functions
Read more - Expert Reviews: Basics of Microfluidics
How to choose a microfluidic chip
Read more - Expert Reviews: Basics of Microfluidics
Mimicking in-vivo environments: biochemical and biomechanical stimulation
Read more - Microfluidics White Papers
A review of Organ on Chip Technology – A White Paper
Read more - Expert Reviews: Basics of Microfluidics
Flow Control Technologies: Comparison between peristaltic, syringe and pressure pumps for microfluidic applications
Read more
References
[1] Helmke B.P, Rosen A.B & Davies P.F. Mapping mechanical strain of an endogenous cytoskeletal network in living endothelial cells. Biophys J (2003). doi: 10.1016/S0006-3495(03)75074-7
[2] Malek A.M & Izumo S. Mechanism of endothelial cell shape change and cytoskeletal remodeling in response to fluid shear stress. J Cell Sci (1996). doi: 10.1242/jcs.109.4.713
[3] Campinho P, Vilfan A, Vermot J. Blood flow forces in shaping the vascular system: a focus on endothelial cell behavior. Front Physiol (2020) doi: 10.3389/fphys.2020.00552
[4] Hajal, C., et al. The effects of luminal and trans-endothelial fluid flows on the extravasation and tissue invasion of tumor cells in a 3D in vitro microvascular platform. Biomaterials (2021). doi: 10.1016/j. biomaterials.2020.120470
[5] Rochier A., et al. Laminar shear, but not orbital shear, has a synergistic effect with thrombin stimulation on tissue factor expression in human umbilical vein endothelial cells. J Vasc Surg (2011). doi: 10.1016/j.jvs.2011.01.002
[6] Lipowsky H.H., et al. The distribution of blood rheological parameters in the microvasculature of cat mesentery. Circ Res. (1978). doi: 10.1161/01.res.43.5.738
[7] Kimura H., et al. Effect of fluid shear stress on in vitro cultured ureteric bud cells. Biomicrofluidics (2018). doi: 10.1063/1.5035328.
[8] Ross E.J., et al. Three dimensional modeling of biologically relevant fluid shear stress in human renal tubule cells mimics in vivo transcriptional profiles. Sci Rep (2021). doi: 10.1038/s41598-021-93570-5
[9] Flitney E.W., et al. Insights into the mechanical properties of epithelial cells: the effects of shear stress on the assembly and remodeling of keratin intermediate filaments. FASEB J (2009). doi: 10.1096/ fj.08-124453
[10] Dewey C.F Jr. et al. The dynamic response of vascular endothelial cells to fluid shear stress. J Biomech Eng (1981). doi: 10.1115/1.3138276.
[11] Thompson et al. Mechanical Stimulation: A Crucial Element of Organ-on-Chip Models. Frontiers in Bioengineering and Biotechnology (2020). doi: 10.3389/fbioe.2020.602646
A new level of technology
Microscopy and cell biology
Flow cells or microfluidic chips combined with a fluid perfusion system and microscopy are compatible with a variety of applications, including DNA and RNA hybridization, drug combination and long-term perfusion, and immunostaining.
Cell culture and Organ-on-a-chip
This area is an ideal microenvironment to study molecular and cellular-scale activities that underlie human organ function as well as identify new therapeutic targets in vitro.
Digital PCR
Microfluidic dPCR offers a new level of insight compared to quantitative PCR (qPCR). Droplet-based microfluidics is an excellent solution for partitioning a sample.
Want to learn more about the capabilities of microfluidics in life science? See Fluigent’s CEO France Hamber discuss microfluidic disruptive discoveries
Research applications
Microfluidics in biology and medicine
Microfluidics has emerged as a transformative technology, revolutionizing various areas of research, diagnostics, and therapeutics. By enabling precise manipulation and control of small volumes of fluids at the microscale level, microfluidic devices, also known as lab-on-a-chip, have opened up new possibilities in the study of cells, diagnostics, DNA sequencing, and drug discovery. In biology, microfluidics allows researchers to analyze and manipulate individual cells, paving the way for advancements in cell biology and single-cell genomics. In medicine, microfluidic platforms offer portable, rapid, and cost-effective point-of-care diagnostics, bringing healthcare to resource-limited settings, e.g. by using organ-on-chip platforms.
As an example, microfluidics in life science has accelerated RNA sequencing technologies, enabling high-throughput sequencing at reduced costs. In the application note linked below, Fluigent presents the Drop-Seq method, a high-throughput method that enables sequencing of the mRNA from a large number of cells. The Drop-Seq method pairs barcoded beads and cells in droplets, capturing cell-specific RNA on beads. Tagged cDNA is generated, amplified, sequenced, and bioinformatically analyzed. Barcode sequences identify cells, and transcript sequences are mapped to a reference genome, forming cell-specific gene-expression profiles.
Microfluidic tools for cell biological research
Cellular biology plays a crucial role in the field of medical science and drives innovation. A comprehensive understanding of how cells react during infections and pathological conditions is instrumental in the discovery of novel disease treatments. Essential to the analysis and visualization of cellular behavior are microscopy and imaging technologies. In the realm of cell biology, the integration of precise fluid flow control within microfluidic systems has revolutionized the study of cells by providing an automated platform that mimics their natural environment.
Microfluidics facilitates the delivery of fluids at controlled flow rates, minimizing errors. It finds applications in diverse areas such as RNA and DNA hybridization, enabling real-time imaging of gene expression in living cells. Microfluidics also contributes to drug combination therapies, long-term perfusion studies, and improved immunostaining protocols. By replacing traditional methods, microfluidics in life science offers several advantages including enhanced control, sensitivity, throughput, cost-effectiveness, and reduced material consumption. Its potential impact extends to cancer diagnosis, enhancing our understanding of cancer biology, and driving advancements in medical research.
Advantages of pressure-based flow controllers for life science experiments
Pressure-based flow controllers offer several advantages over peristaltic pumps and syringe pumps in microfluidics for life science applications. Firstly, it provides precise and accurate control of flow rates, allowing for better reproducibility and control of experimental conditions. Secondly, the pressure-based system is less prone to pulsations and variations in flow, resulting in more stable and consistent flow profiles. Additionally, using pressure-based controllers in life sciences allows researchers to work with much smaller volumes, which is useful when the samples to be studied are expensive or rare.
Finally, using pumps like the Flow EZ allows for use of various accessories such as reservoir mixers or block heaters, which can reproduce the physiological conditions of cells, for example, and keep the sample homogeneous, which is much more complex, if not impossible, with other types of pumps.
Organ-on-chip studies for life science
Organs-on-chips (OoC) are microdevices that mimic organ functions. They use microfluidics and 3D culture to replicate human physiology. OoC models show that dynamic culture conditions affect system maturation. They aim to recreate tissue barriers, parenchymal tissues, and inter-organ interactions. An OoC system includes a microfluidic chip with cell culture chambers, fluid channels, and optional components like membranes or gels. Biosensors and bio-actuators may be added. This technology is very useful for microfluidics in life science applications, as it offers more realistic lab modeling of organs and tissues. To that end, Fluigent has created Omi, a versatile and automated platform for organ-on-chip studies.
Omi allows for long-term cell culture with controlled shear stress conditions through continuous flow. It offers customizable and automated protocols for various functions, such as perfusion, recirculation, sampling and injection. This platform caters to the requirements of both novice cell culture researchers and experienced organ-on-chip researchers, addressing their needs for automation and reproducibility.
Microfluidic in Life Science Case Study
Hans-Knöll-Institut, New Antibiotics, Cultivation in Droplets
This project focuses on how Fluigent’s customers use microfluidics to achieve outstanding results in their technology experiments.
Our speakers are Prof. Dr. Miriam Agler-Rosenbaum (Head of Bio Pilot Plant Department), Dr. Sundar Hengoju, Dr. Dede Man from the Bio Pilot Plant Department of the Leibniz Institut for Natural Products Research and Infection Biology (Hans Knöll Institute).
- How are they trying to find new antibiotics?
- Why is this important for infection biology?
- How do they research natural products?
- What are these products exactly?
- How does microfluidics allow them to cultivate microbes in droplets?
- How does the technology increase their efficiency millions of times over?
- In which cases are pressure pumps better than syringe pumps?
- How can microfluidic droplets be stabilized?
Watch this episode to find out – and note that this is just one story told. There are many possible applications for microfluidics.
Related products
Research field
Fluid Degassing Device for Microfluidic System
Microfluidic Fluid Degassing Device
See the offer
Microfluidic Injection Valve
L-SWITCH™ 6-port/2-position
See the offer
Aria, An Automated Perfusion System
Platform for Spatial Omics
See the offer
High Throughput Cell Perfusion Pack
High Throughput Cell Perfusion Pack
See the offer
Organ on Chip Perfusion Pack
Perfect organ-on-chip cell perfusion set
See the offer
Microfluidic flow controller
Flow EZ™
See the offer
Microfluidic Recirculation Valve
L-SWITCH™ 6-port/2-position
See the offer
Bidirectional Microfluidic Flow Sensor
FLOW UNIT | FLOW UNIT +
See the offer
Industrial field
Related Expertises
Looking for another market?
From the life sciences to the food industry, many applications require the use of fluids driven at flow rates from nanoliters to milliliters per minute. At such low flows, the success of these applications strongly depends on the level of control and automation of the fluidic operations.
These applications require flow control systems that are adapted for ensuring their success.
About The Keyser lab – University of Cambridge
The Keyser Lab is a group of researchers at the Cavendish Laboratory, University of Cambridge, UK. Since its founding in 1874, the Cavendish Laboratory has been at the forefront of discovery in physics, with a core focus on experimental physics supported by excellence in theory. The department promotes world-leading experimental and theoretical physics in all its diversity. Scientists from the Keyser Lab study the physics of ions, macromolecules and particles, with a particular focus on particles in confined geometries at the single molecule/particle level. To exert maximum control over all parameters for their experiments, they make use of several cutting-edge techniques such as DNA self-assembly (origami), optical trapping, electrophysiology, and microfluidics and nanofluidics.
The team includes researchers with expertise in physics, engineering, physical chemistry, biochemistry/biology, and micro- and nanofabrication.
What are Giant Unilamellar Vesicles (GUVs)?
Giant Unilamellar Vesicles (GUVs) are micron-sized compartments composed of lipid bilayers, serving as models for cell membranes or as encapsulating structures for biological materials within cell-like environments. These vesicles have dimensions ranging from 1 to 100 µm, mimicking the size of cells. Like natural cell membranes, GUVs are constructed from lipids, predominantly phospholipids and cholesterol. The amphiphilic properties of these lipids enable them to spontaneously arrange into spherical compartments when immersed in an aqueous solution.
They offer the advantages of having well-defined lipid compositions, being easy to image, and being controlled systems for studying transport processes. These characteristics open the door to a variety of applications in biology and biomedicine, especially membrane biophysics and synthetic biology.1,2
Working principle of GUV production
In 2016, the Dekker Laboratory from the Delft University of Technology developed a novel microfluidics-based method called Octanol-Assisted Liposome Assembly (OLA) to create uniform, cell-sized (5–20 mm) GUVs with high encapsulation efficiency. Using Fluigent’s pressure-driven MFCS-EZ controller with the Oxygen software tool, an inner aqueous phase (IA) and an outer lipid-carrying 1-octanol phase (LO) were combined, resulting in double-emulsion droplets via hydrodynamic flow focusing. These droplets developed a side-connected 1-octanol pocket, which, due to interfacial energy minimization, separated to rapidly form fully assembled solvent-free liposomes. Microfluidic GUV production addresses the persistent issue of residual oil in vesicle bilayers.
This method allows researchers to generate GUVs with higher monodispersity and greater size control compared to traditional methods, and with a faster process than alternative microfluidic methods.3
Keyser Lab: Microfluidics for GUV generation for antimicrobial efficacy and biomimetic vesicle membrane testing
Scientists from the University of Cambridge integrated octanol-assisted liposome assembly into their microfluidic platforms (“lab on a chip” devices) for quantifying drug permeation and antimicrobial efficacy on biomimetic vesicle membranes.
In a first paper published in Lab on a Chip (2019), they reported on a microfluidic platform for testing antimicrobial peptides on artificial vesicle membranes. This platform produced vesicles with an encapsulated dye to assess the efficacy of antimicrobial peptides by measuring the time it takes for vesicles to lyse.4
This Giant Unilamellar Vesicle production technique also utilized Fluigent‘s MFCS-EZ and its accompanying software (Oxygen) for fluid control. Vesicle formation and perfusion inlets were connected, and the microfluidic chip was loaded with an inner aqueous phase base stock. The outlet was connected to Fluigent’s 2-Switch, which can switch between open or closed configurations for waste removal. Vesicles flowed through a channel to the connector chip, and 1-octanol pockets pinched off to form droplets. Density-based separation removed vesicle production waste, and the vesicles were distributed to trapping chambers. Peptide doses were controlled, replacing the inner aqueous phase buffer, while maintaining a constant input pressure. The entire process was monitored under an inverted microscope.
Validated with cecropin B on bacterial-mimicking membranes, the platform enabled the researchers to study over 1000 vesicles simultaneously. The results showed dose-dependent disruption of vesicle membranes, demonstrating the platform’s potential for controlled, quantitative assessments of the efficacy and selectivity of antimicrobial peptides. This microfluidic approach to GUV production is suggested as a new standard for pre-clinical development of membrane-active antimicrobials, offering advantages in cost efficiency and parallelization.
In another paper published in Biomembranes (2020), scientists from the University of Cambridge and the University of Exeter produced GUVs with tunable binary lipid mixtures to determine lipid diffusion in OLA vesicles.5
The focus was on expanding the capabilities of this microfluidic approach to form GUVs with tunable binary lipid mixtures. An MFCS-EZ equipped with a Fluiwell-4C reservoir kit with OLA solutions was connected to the microfluidic chip. The microfluidic GUV production method allowed for a high degree of control over vesicle sizes by adjusting pressures in different channels. This was possible due to the high responsiveness, stability and repeatability of the pressure generated by the MFCS-EZ. In addition, flow speed was successfully matched to the outlet channel length to prevent residual octanol attachment to vesicles.
This study employed fluorescence recovery after photobleaching to investigate lipid lateral diffusion coefficients in GUVs produced by the microfluidic approach, finding values within the expected range. Comparisons with electroformed vesicles indicated quantitative similarity in lipid diffusion coefficients. The results served as a quantitative biophysical validation of OLA-derived GUVs, enhancing the potential application of this versatile platform in drug discovery, artificial cell production, and lipid membrane studies.

Conclusion
To produce Giant Unilamellar Vesicles, fluids were controlled using Fluigent pressure-based flow controllers. Researchers from the Keyser Lab (University of Cambridge) typically operated the chip with input pressures of 40 mbar for the inner aqueous phase and dissolved-lipid phases and 100 mbar for the outer aqueous phase. For precise flow measurements, Fluigent Flow Units can be added on the fluidic path. Microfluidic GUV production also allowed researchers to adjust the sizes of the generated vesicles by adjusting the microfluidic pressures of the phases. This degree of control is difficult to achieve using standard methods such as electroformation or traditional syringe pumps.

Testimonials

“Microfluidics presents various advantages to researchers who need small volumes and high throughput in answering their scientific questions. In our lab, we use microfluidic devices for standardization and control of experimental parameters like concentration and timing. In the complex (biological) systems we are working on, the mentioned characteristics are fundamental in collecting reliable meaningful statistics, and microfluidics in combination with light microscopy offers just that. We also heavily rely on the ability to rapidly prototype devices, as we can design bespoke solutions at minimal production cost and time.”
“We use the pressure-based pumps from Fluigent for experiments that require swift responsiveness when manipulating fluids, and fine tuning at low flow rates. We use the Fluigent systems during fabrication and running of the microfluidic chips. The ability to pump in air at high precision makes the Fluigent pressure-based systems ideally suited to selectively coat and functionalize micro-channels within a microfluidic network. After coating we then fill the devices with the experimental solutions and use the pressure controls to move fluids around, open and close valves and carefully time the introduction of small molecules in the experiments.“
Kareem Al Nahas, University of Cambridge
Expertises & Resources
-
Expert Reviews: Basics of Microfluidics Giant Unilamellar Vesicles (GUVs) Production using Microfluidics Read more
-
Microfluidics Article Reviews A mRNA encapsulation platform integrating Fluigent’s FlowEZ Read more
-
Expert Reviews: Basics of Microfluidics Microfluidics for vaccine development Read more
-
Microfluidic Application Notes Liposome Nanoparticle Synthesis Read more
-
Expert Reviews: Basics of Microfluidics Flow control for droplet generation using syringe pumps and pressure-based flow controllers Read more
References
- Naziris, N., Demetzos, C. (2021). Liposomes: Production Methods and Application in Alzheimer’s Disease. In: Vlamos, P. (eds) GeNeDis 2020. Advances in Experimental Medicine and Biology, vol 1339. Springer, Cham.
- Pereira, David & Valentão, Patrícia & Andrade, Paula. (2014). Nano- and Microdelivery Systems for Marine Bioactive Lipids. Marine Drugs. 12. 6014. 10.3390/md12126014.
- Deshpande, S.; Caspi, Y.; Meijering, A. E. C.; Dekker, C. Octanol-Assisted Liposome Assembly on Chip. Nat Commun 2016, 7 (1), 10447.
- Al Nahas, K.; Cama, J.; Schaich, M.; Hammond, K.; Deshpande, S.; Dekker, C.; Ryadnov, M. G.; Keyser, U. F. A Microfluidic Platform for the Characterisation of Membrane Active Antimicrobials. Lab Chip 2019, 19 (5), 837–844.
- Schaich, M.; Sobota, D.; Sleath, H.; Cama, J.; Keyser, U. F. Characterization of Lipid Composition and Diffusivity in OLA Generated Vesicles. Biochimica et Biophysica Acta (BBA) – Biomembranes 2020, 1862 (9), 183359.
Microfluidic chip definition
Microfluidic chips, often referred to as lab-on-a-chip devices, are miniature platforms that manipulate and analyze small volumes of fluids. These chips, witch feature molded or patterned micro-channels, integrate various functions, such as mixing, pumping, and sensing, onto a compact substrate, enabling precise control over minute amounts of liquids.
Inlet and outlet ports connect this network to the external environment. Liquids or gases can be injected, managed, and removed from the microfluidic chip through passive or active methods, wich may involve pressure/flow controllers, syringe pumps, or peristaltic pumps. The microscale fluidic chip’s channels may have varying inner diameters, typically ranging from 5 to 500 µm, but today’s fabrication techniques enable structures with sub-micrometer precision.
The channel network must be specifically designed for the desired application and analysis (cell culture, organ-on-a-chip, DNA analysis, lab-on-a-chip, microfluidic droplets, etc.).
A Brief History of Microlfuidic Chips
The roots of microfluidics trace back to the mid-20th century. However, it was in the late 20th and early 21st centuries that the field truly blossomed.
Miniaturization techniques have been continuously shaping the microelectronic’s technology and its ability to produce devices for a broad range of applications. Downscaling the dimensions of transistors has been pursued in the industry to fulfill the growing demand for smaller, faster and more energy-efficient systems1. In the late 1960s, a new field emerged known as microelectromechanical systems (MEMS).
This field laid the foundations for the miniaturization of mechanical systems, with the development of micromachining technology based on silicon semiconductor technology. It was during this era that engineers began realizing the capabilities of silicon chips in processing elements such as chemicals, motion, and light.
1950s-1970s: Early Developments
Pioneering work by scientists like Norbert Elmqvist and Andreas Manz laid the groundwork for microfluidic concepts.
1980s-1990s: Emergence of Lab-on-a-Chip
The term “lab-on-a-chip” gained prominence as researchers explored ways to miniaturize and integrate laboratory processes.
2000s-Present: Rapid Advancements
Microfluidic chips found applications in various fields, including biology, chemistry, and medicine, driving a surge in research and development.
Key Milestones:
First Lab-on-Chip (1979):
In 1979, the first glimpse of the future emerged as Andreas Manz pioneered the concept of a lab-on-a-chip, laying the foundation for a revolutionary era in microfluidics.
Polymerase Chain Reaction (PCR) on a Chip (1998):
The demonstration of PCR on a microfluidic chip by the Quake group showcased the potential for DNA amplification in a miniaturized format.
Organ-on-a-Chip (2010s):
Advancements in mimicking physiological conditions on microfluidic platforms led to the development of “organ-on-a-chip” devices, revolutionizing drug testing and disease modeling.
Point-of-Care Diagnostics (2010s):
Microfluidic chips played a pivotal role in the development of portable, rapid diagnostic devices, transforming healthcare by enabling on-site testing.
Drop-Sequencing protocol developed by Macosko et al. (2015)
Drop-Seq marked a significant milestone as it introduced a high-throughput method for single-cell RNA sequencing, propelling advancements in understanding cellular diversity and gene expression.
Material and production methods
Explore the world of microfluidic chip fabrication and production methods. These chips, crucial in lab-on-a-chip technology, are crafted from materials like silicon, glass, or polymers such as PDMS (Polydimethylsiloxane). The production methods vary, tailored to the chosen material.
The evolution of microfluidics traces back to the late 20th century with the development of inkjet printer heads. This breakthrough showcased the generation of micron-sized droplets using piezoelectric or thermal effects.
In 1990, Manz et al. introduced the concept of miniaturized total chemical analysis systems (μTAS)2, aiming to integrate diverse laboratory processes into a compact chip-sized platform.
This revolutionary idea sought to simplify and enhance complex chemical analyses by minimizing the size and complexity of traditional laboratory setups.
Subsequently, companies emerged, utilizing these systems for life science applications. The adoption of rapid prototyping and polymer replication, particularly PDMS, as an alternative to silicon processing, accelerated academic research. This era ushered in new terminologies such as “microfluidics” and “lab-on-a-chip” (LOC), reshaping the landscape of scientific exploration.
Microfluidic Chip manufacturers

Beonchip S. L. was founded in 2016 at the University of Zaragoza by Ignacio Ochoa (specialist and PhD in biology), Luis Fernández (PhD in microtechnology) and Rosa Monge (PhD in mechanical Engineering).
Therefore, Beonchip have multidisciplinarity in its roots, and their team is proof of that. The collaboration of engineers and biologists has been key to design the most user friendly and accessible organ on chip devices that are true to the physiological environment of the body.

FlowJEM technology was developed for research and development projects by microfluidic researchers and engineers like you.
Microfluidic devices fabricated by FlowJEM have a broad range of applications, including but not limited to chemistry, materials science and technology, nanoscience, pharmaceutical science, biology, bioengineering and medicine.
FlowJEM’s goal is to meet the demands for high quality, fast turnaround time and low cost. Work with us to develop your ideas into prototypes or transition your prototypes to volume production.

Secoya Technologies develops innovative production technologies and equipment by a smart use of intensified operational units. It results in stable and reliable processes – at any scale – producing high quality (bio-)pharmaceutical products
Using cutting-edge technologies as sub-micrometric 3D printing and micro-electro-erosion, SECOYA has developed a unique device that is able to continuously produce micro-sized droplets at a very high frequency (kHz) and with a very narrow size distribution (high monodispersity). Its use for the encapsulation of active ingredients and multiple emulsions has been demonstrated.
microfluidic ChipShop offers a wide off-the-shelf selection of microscale fluidic chips from thermoplastic polymers and the complementary accessories. They furthermore support customized prototyping as well as volume production services – from one to millions of chips, from simple microfluidic devices to complex lab-on-a-chip-systems.

Bi/ond empowers biological innovation by engineering microchips which nourish, stimulate and monitor your cells. Bi/ond’s Organ-on-Chips are compatible with a wide variety of complex 3D tissues (organoids, patient-derived samples, cell monolayers) and they have been qualified in multiple applications such as Brain-on-Chip, Heart-on-Chip and Cancer-on-Chip. When you buy one of our OOC, you are not only purchasing a product, you are adding an engineer to your team. Bi/ond’ team will help and support you to set up your model with our extensive knowledge of microfabrication, simulations and biology.

Micronit is the leading innovator and global partner in design, development and manufacturing of customer specific lab-on-a- chip solutions for life science and health applications.
With over 20 years of experience, a highly qualified team, state-of-the-art technologies, and certified manufacturing facilities, we deliver innovative and competitive products to our customers for life science research towards personal health applications.
References
- Chiu, J. and Chie
- Temiz, Y., Lovchik, R. D., Kaigala, G. V. & Delamarche, E. Lab-on-a-chip devices: How to close and plug the lab? Microelectron. Eng. 132, 156–175 (2015).
- A. MANZ, N. G. and H. M. W. Miniaturized Total Chemical Analysis Systems: a Novel Concept for Chemical Sensing. Sensors and Actuators 17, 620–624 (1990).
Related Resources
- Expert Reviews: Basics of Microfluidics
Flow Control Technologies: Comparison between peristaltic, syringe and pressure pumps for microfluidic applications
Discover - Microfluidics White Papers
An exploration of Microfluidic technology and fluid handling
Discover - Expert Reviews: Basics of Microfluidics
Microfluidics overview: History and Definition
Discover - Expert Reviews: Basics of Microfluidics
The Importance of Flow Control Stability in Microfluidics
Discover - Expert Reviews: Basics of Microfluidics
How to choose a microfluidic chip
Discover - Expert Reviews: Basics of Microfluidics
Microfabrication of Microfluidic Chips: Materials and Methods
Discover - Expert Reviews: Basics of Microfluidics
Application of microfluidic chip technology
Discover - Expert Reviews: Basics of Microfluidics
The Raydrop | A new droplet generation device based on non-embedded co-flow-focusing
Discover - Microfluidic Application Notes
Automating Neuronal Cell Immunofluorescence in Microfluidic Chips
Discover
Why Flow Control Stability Matters in Microfluidics?
Though microfluidics was initially developed for applications in analytical chemistry and physics, it has since expanded into biology, medicine, and materials science.1,2 Today, microfluidic technologies are not only advancing research but are also part of everyday life, powering devices like inkjet printers and diagnostic tests.3–6
While the microfluidic chip often receives the most focus, the performance of the overall system depends heavily on the control of fluid flow (Figure 1). In many systems, stable and precise flow control is essential. Variations in flow can impact experimental outcomes, reducing the reliability and reproducibility of results.7
This review explores the importance of flow control stability in microfluidics. We define key parameters such as response time and resolution, assess common strategies for flow generation and regulation, and finally illustrate the role of flow stability with applications from different fields.
Key Parameters for Assessing Flow Control and Stability
Flow control stability in microfluidics refers to the ability of a system to maintain a prescribed flow rate or pressure with minimal deviation over time. Due to the sensitivity of microscale systems to even minor perturbations, precise control is essential to ensure experimental reproducibility and reliability.
Flow stability is commonly assessed using classical statistical indicators such as range, standard deviation (SD), and coefficient of variation (CV), all of which are directly applicable in microfluidic contexts. The range captures the span between the maximum and minimum values. The standard deviation provides a more representative measure of variability across time, while the CV, the ratio of SD to the mean, offers a normalized, dimensionless value, enabling comparison across systems operating at different flow rates.
Beyond these steady-state metrics, dynamic parameters play a critical role in evaluating how quickly and accurately a flow-handling instrument can respond to changes.
- Response time refers to the time between the sending of a command (keystroke) and the initial reaction of the system, such as the onset of fluid movement (Figure 2a).
- Rising time denotes the duration required for the system to increase from 10% to 90% of the target value, reflecting the speed of actuation (Figure 2b).
- Settling time is the total time needed for the system to reach and remain within a predefined error margin (typically ±5%) around the target value, encompassing both initial response and final stabilization (Figure 2c).


Figure 2: Examples of a) response time, b) rising time, and c) settling time of flow-handling instrument.
The shorter the response time, the faster the flow-handling instrument can execute its feedback loop to compensate for any variations in the quantity of interest; thus, enhancing flow stability.
- Resolution refers to the smallest detectable change in the physical quantity (flow rate in our case) that a sensor can measure, or the smallest increment a controller can apply.
Higher resolution allows the system to more accurately track input commands and finely regulate output, contributing significantly to flow stability.
Together, these parameters provide a comprehensive framework for characterizing both the static and dynamic aspects of flow control stability in microfluidic systems. This is essential for ensuring precision in increasingly complex and time-sensitive applications.
Comparative Overview of Flow Control Instruments in Microfluidics
A variety of flow control systems are used in microfluidics, each with different mechanisms and performance characteristics. Among the most widely employed are syringe pumps, peristaltic pumps, and pressure-based flow controllers. While each has specific advantages, their ability to maintain stable, accurate, and responsive flow is a key factor for ensuring precision in microfluidic applications.
- With Syringe pumps a motor-driven plunger pushes fluid from a syringe into the microfluidic system. They have been used due to their ease of operation and accessibility. Their stepper motor actuation introduces pulsatile flow and results in relatively long response times, especially when adjusting flow rates or executing dynamic protocols in systems with resistance to flow. These characteristics can limit flow stability, particularly in experiments requiring fine control or rapid transitions.
- Peristaltic pumps compress flexible tubing segments with rotating rollers, generating a forward-moving wave that drives fluid flow. This mechanism enables continuous, non-contact fluid transport and minimizes the risk of cross-contamination, making them well-suited for handling sensitive or hazardous fluids. However, intrinsic to their actuation principle is pulsatile flow, characterized by periodic fluctuations in flow rate. These pulsations can become particularly pronounced at low flow regimes or in microfluidic systems with high sensitivity to transient shear forces and pressure variations, potentially compromising experimental precision and reproducibility.
- Pressure-based flow controllers deliver fluid by regulating the pressure applied to a fluid reservoir. This provides pulse-free, highly responsive, and stable flow control. These systems can be coupled with feedback algorithms that enable users to set a target flow rate, with the applied pressure continuously and dynamically adjusted to maintain the desired flow.This compensates for variations in system resistance or fluid properties. An accurate closed-loop flow control system often requires the integration of a flow rate sensor. This approach offers fast response times and stability, making pressure controllers especially advantageous for high-precision and time-sensitive microfluidic workflows.
In the following graphs (Figures 3-4), we present a comparison between Fluigent pressure-based controllers (Flow-EZTM), syringe pumps, and peristaltic pumps in terms of flow stability.

Examples of Applications Influenced by Flow Stability
At a micrometric scale, flow control stability is critical across a wide range of applications, directly influencing the reproducibility, and interpretability of experimental outcomes. Whether for imaging, biological manipulation, or particle processing, stable flow ensures that microfluidic conditions remain consistent, minimizing variability and enhancing data reliability. The following examples illustrate how precise flow regulation provides optimal performance across several key microfluidic techniques.
1. Imaging techniques
In imaging applications, flow stability is essential for producing accurate and interpretable visual data. Laser Speckle Contrast Imaging (LSCI), for instance, is used to assess blood flow dynamics. Syringe pump-induced flow fluctuations can be misinterpreted as biological variation, reducing result fidelity. Pressure-based flow controllers ensure consistent flow rates. In this case study, pressure-driven systems enhanced flow reproducibility and eliminated artifacts in LSCI, significantly improving the reliability of high-resolution imaging (Figure 5-6).8
Figure 5: a) Flowrate control between syringe and pressure system b) Microfluidic setup for LSCI Microscopy (Sullender, C. T. et al. J. Biomed. Opt. 2023, 28 (03)).
Figure 6: Example of a human cortex captured by a surgical microscope and the corresponding speckle contrast image (Sullender, C. T. et al. J. Biomed. Opt. 2023, 28 (03)).
2. Microscopy
In Liquid Phase Transmission Electron Microscopy (LPTEM), precise control of fluid flow is critical for high-resolution imaging of samples in liquid environments. Integrating microfluidics with LPTEM regulates the flow of reagents through the imaging area, ensuring that the liquid is consistently directed between the chips and into the observation zone (Figure 7). This setup maintains uniform temperature and environmental conditions and allows for the real-time study of dynamic processes, such as copper electrodeposition, without compromising the integrity of the sample (Figure 8). The control provided by pressure-driven systems is essential for obtaining clear, reproducible imaging at the nanoscale, offering valuable insights into phenomena that depend on consistent fluid movement for accurate analysis.
Figure 8: Time series of images showing the growth and etching process of Cu dendrites on the Pt electrode using microfluidics.
3. High-Precision Micro-cannulas Manipulation
In developmental biology and physiological studies, such as zebrafish heart analysis, flow control stability ensures accurate modulation of mechanical loads. In a case study (Dalhousie University), micro-cannulas were inserted into zebrafish embryos to inject saline upstream of the heart, inducing atrial dilation. Using pressure-based flow control allowed researchers to observe changes in heart rate and stroke area in real time (Figures 9-10). This approach revealed critical insights into mechano-mechanical coupling during early cardiac development and demonstrated how precise, stable flow is essential for in vivo manipulation at micro scales.9
In C. elegans experiments, pressure-controlled systems facilitate gentle and consistent immobilization or reagent delivery, minimizing stress and mechanical disturbance to the organism. This improves the reliability of imaging, behavioral tracking, and neuronal stimulation protocols. 10,11
4. Cell Sorting
For cell sorting and particle separation, flow control stability determines the accuracy and resolution of sorting outcomes. Microfluidic single-cell sorters rely on consistent flow to direct cells based on size or markers. In an experiment using a spiral-shaped microfluidic device, pressure-based controllers enabled separation of 7.3 µm and 15 µm particles by maintaining defined flow conditions (Figures 11-12). The resulting high sorting fidelity was achieved through fine control of inertial forces.
5. Lipid Nanoparticle (LNP) Production
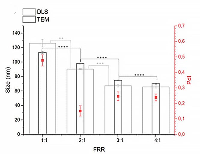
In the development of drug delivery, flow control stability plays a crucial role in determining particle size and uniformity.12–14 In this case study (from the Ca’Foscari University of Venice), researchers used microfluidic mixers to produce amiodarone-loaded liposomes by adjusting the flow rate ratio (FRR) between aqueous and organic phases. Pressure-based flow controllers maintained a constant total flow rate (TFR) and precisely modulated the FRR, yielding liposomes with desirable size distributions and polydispersity indices (Figures 13-14). Stable flow was essential to ensuring consistency across batches, ultimately impacting therapeutic performance and reproducibility. 15
6. Organ-on-a-Chip (OOC)
OOC systems require controlled liquid flow to mimic physiological microenvironments and support long-term cell viability and function. This is particularly important in gut-on-a-chip platforms and other systems, where fluid-induced shear stress regulates epithelial differentiation, barrier integrity, and microbial interactions. As previously explained, traditional methods such as peristaltic pumps often introduce flow fluctuations at low rates and require frequent recalibration. Pressure-based flow controllers offer accurate, pulse-free flow delivery and rapid responsiveness. When applied to gut-on-chip models, control enables the formation of uniform epithelial monolayers under physiologically relevant conditions, making the system suitable for studying intestinal function. Controlled flow permits the generation of robust and reproducible tissue models, such as monolayers, that are directly usable for Organ-on-a-Chip applications (Figure 14).
Conclusion
We have highlighted the critical role of flow control stability in microfluidic systems and its impact on many diverse applications including microscopy, high-precision manipulation, cell sorting, lipid nanoparticle production, and OOC. We compared pressure-based flow controllers to syringe pumps and peristaltic pumps, showing how pressure-driven systems provide superior stability and accuracy. Continued advancements in flow control technologies will further refine microfluidic applications, opening new possibilities for high-precision research and innovation across multiple disciplines.
👉 Ready to improve flow control stability in your setup? Contact our experts or explore our microfluidic pressure control systems.
Related content
Resources & Expertises
-
Microfluidic Application Notes Gut-on-Chip Model Development Using OOAC Platform, Omi Read more
-
Microfluidics Case Studies Drug-Loaded Liposome Preparation Using Microfluidics Read more
-
Microfluidics Article Reviews Pressure-driven flow controllers vs. Syringe pumps: A flow precision evaluation for optical blood imaging. Read more
-
Expert Reviews: Basics of Microfluidics Why Control Shear Stress in Cell Biology? Read more
-
Expert Reviews: Basics of Microfluidics Choosing the Right Microfluidic Pressure Range Read more
-
Microfluidic Application Notes Development of a human gut-on-chip to assess the effect of shear stress on intestinal functions Read more
-
Microfluidics White Papers An exploration of Microfluidic technology and fluid handling Read more
-
Expert Reviews: Basics of Microfluidics Flow control for droplet generation using syringe pumps and pressure-based flow controllers Read more
-
Expert Reviews: Basics of Microfluidics Flow Control Technologies: Comparison between peristaltic, syringe and pressure pumps for microfluidic applications Read more
References
1. Whitesides, G. M. The origins and the future of microfluidics. Nature 442, 368–373 (2006).
2. Battat, S., Weitz, D. A. & Whitesides, G. M. An outlook on microfluidics: the promise and the challenge. Lab. Chip 22, 530–536 (2022).
3. Zub, K., Hoeppener, S. & Schubert, U. S. Inkjet Printing and 3D Printing Strategies for Biosensing, Analytical, and Diagnostic Applications. Adv. Mater. 34, 2105015 (2022).
4. Su, W., Cook, B. S., Fang, Y. & Tentzeris, M. M. Fully inkjet-printed microfluidics: a solution to low-cost rapid three-dimensional microfluidics fabrication with numerous electrical and sensing applications. Sci. Rep. 6, 35111 (2016).
5. Iyer, V., Yang, Z., Ko, J., Weissleder, R. & Issadore, D. Advancing microfluidic diagnostic chips into clinical use: a review of current challenges and opportunities. Lab. Chip 22, 3110–3121 (2022).
6. Wang, X. et al. Microfluidics-based strategies for molecular diagnostics of infectious diseases. Mil. Med. Res. 9, 11 (2022).
7. Cavaniol, C., Cesar, W., Descroix, S. & Viovy, J.-L. Flowmetering for microfluidics. Lab. Chip 22, 3603–3617 (2022).
8. Sullender, C. T. et al. Using pressure-driven flow systems to evaluate laser speckle contrast imaging. J. Biomed. Opt. 28, 036003 (2023).
9. Baillie, J. S., Gendernalik, A., Garrity, D. M., Bark, D. & Quinn, T. A. The in vivo study of cardiac mechano-electric and mechano-mechanical coupling during heart development in zebrafish. Front. Physiol. 14, (2023).
10. Bruggeman, C. W., Haasnoot, G. H. & Peterman, E. J. G. Microfluidics and fluorescence microscopy protocol to study the response of C. elegans to chemosensory stimuli. STAR Protoc. 4, 102121 (2023).
11. Rahimpouresfahani, F., Tabatabaei, N. & Rezai, P. High-throughput light sheet imaging of adult and larval C. elegans Parkinson’s disease model using a low-cost optofluidic device and a fluorescent microscope. RSC Adv. 14, 626–639 (2024).
12. Jaradat, E., Weaver, E., Meziane, A. & Lamprou, D. A. Microfluidics Technology for the Design and Formulation of Nanomedicines. Nanomaterials 11, 3440 (2021).
13. Jaradat, E., Weaver, E., Meziane, A. & Lamprou, D. A. Synthesis and Characterization of Paclitaxel-Loaded PEGylated Liposomes by the Microfluidics Method. Mol. Pharm. 20, 6184–6196 (2023).
14. Ghodke, J. et al. The Manufacturing and Characterisation of Eugenol-Enclosed Liposomes Produced by Microfluidic Method. Foods 12, 2940 (2023).
15. Saorin, A. et al. Microfluidic production of amiodarone loaded nanoparticles and application in drug repositioning in ovarian cancer. Sci. Rep. 14, 6280 (2024).
Abstract
In this Application Note, we introduce a novel Automated Immunofluorescence (IF) protocol that integrates the advanced automated sequential injection system (ARIA) and Bioptechs’ FCS2 imaging chamber. This combination offers a breakthrough solution for researchers to achieve highly accurate and reproducible imaging results in cell and molecular biology experiments, providing a deeper insight into the intricate cellular and molecular interactions within the sample.
With this Automated IF protocol, the tedious and error-prone manual handling associated with traditional multi-step IF procedures is completely eliminated, resulting in a faster and more reliable process.
The application note was prepared in collaboration with Samy GOBAA (Director of the Biomaterials and Microfluidics Unit at the Pasteur Institute) and Heloïse Mary (Research Engineer at BMcf).
Introduction to Automated Immunofluorescence
Immunofluorescence (IF) is a widely utilized analytical technique in the field of cell and molecular biology, aimed at providing insights into the localization and distribution of specific proteins within cells, tissues, and organisms. The technique employs the use of antibodies, which can be conjugated with fluorescent markers or revealed through the use of secondary fluorescent antibodies, to target the specific proteins and enable visualization through the use of fluorescent microscopy. (1)
Automated immunofluorescence streamlines the multistep process of IF, which comprises several crucial steps, such as cell fixation, cell permeabilization, blocking of nonspecific binding sites, and direct or indirect staining, followed by several washing steps. The traditional approach to performing these steps has been through manual pipetting, however, this method is time-consuming and prone to inaccuracies due to human error in terms of solution volume and flow rate (2).
In recent times, there has been a growing emphasis on automating laboratory protocols to enhance the efficiency, accuracy, and reproducibility of results. Microfluidics has played a significant role in this advancement, by offering precise control of fluid flow and volume in complex analytical procedures such as IF.
In this application note, we present an Automated Immunofluorescence Protocol that leverages the capabilities of the automated sequential injection system, ARIA, in combination with the imaging chamber FCS2 from Bioptechs. This protocol offers a marked improvement in terms of accuracy and reproducibility, compared to the traditional manual pipetting method, while also increasing the overall efficiency of the process.
The fluid delivery procedure is coupled with the Zeiss Axio Observer for imaging purposes, although the protocol can be adapted to other imaging systems.
We are grateful to Samy GOBAA (Head of the Biomaterials and Microfluidics core facility at Institut Pasteur) and Heloïse Mary (Research Engineer at BMcf) for their contributions to this application note, including the provision of essential lab equipment and invaluable advice.
Materials & Methods: Immunofluorescence protocol
Materials:
- ARIA single output
- Bioptechs Live Cell Imaging Chamber (FCS2)
- Widefield Microscope (in this app note we used a Zeiss Axio Observer)
Methods :
To perform the automated immunofluorescence protocol, preliminary steps of cell preparation and FCS2 chamber preparation are necessary.
- Cell and coverslip preparation: Clean and coat round coverslips (40mm) with EtOH 70%, plasma, and collagen at 50µg/ml. Incubate for 1h @ 37°C. Seed HUVECs onto coverslips in EGM-2 medium for 1-2h to adhere.
- Fixation (manual or automated): Wash cells with PBS 1X, then fix with 4% PFA in PBS 1X for 20min. Rinse with PBS 1X to remove PFA.
- FCS2 chamber assembly: Mount coverslip on white part of chamber, hydrate with PBS 1X, close chamber, and place on microscope stage.
- Automated Immunofluorescence: Permeabilize with 0.1% Triton 100X in PBS 1X for 15min, wash with PBS, block with PBS 1X + 2% BSA for 20min, wash with PBS, and stain with a cocktail of fluorescent antibodies (DAPI, Phalloidin-AF488, UEA-1-lectin DyLight 647).
ARIA unit preparation:
To create a custom automated immunofluorescence program, ARIA needs to be prepared.
- Connect ARIA to pressure source (either a FLPG unit or directly on the wall pressure source), min. 2.2 bar and computer using USB cable.
- Open ARIA software and calibrate the unit.
- Create custom IF program:
- Add steps by clicking “plus” button.
- For solution injection, choose “Volume Injection” and select reservoir.
- Set fluid delivery parameters (flow rate and volume).
- For incubation, add “Wait” step after injection and set timing.
- Repeat steps for entire IF protocol.
Results: Image acquisition
To acquire our images, we here used a Zeiss Axio Observer (inverted widefield microscope).
Please note that any microscope can be used to acquire your images as for any IF experiment.
Figure 3. Primary human endothelial cells (HUVECs) stained with Phalloidin-AF488 for F-actin visualization, UEA1-lectin-DyLight as a membrane marker of endothelial cells and DAPI for nuclei staining. Images were acquired on a Zeiss widefield microscopy at 40X magnification.
Conclusion
This Application Note highlights the benefits of using the ARIA system and the FCS2 imaging chamber for automated immunofluorescence procedures. Our findings demonstrate that this method results in a faster and more efficient process, with a total time of 4 hours and 30 minutes. This is a significant time saving compared to traditional manual pipetting, which can take up to 1 hour and 30 minutes longer.
The automation of this process allows researchers to perform other tasks simultaneously, freeing up valuable time and resources. Furthermore, this protocol is versatile and can be applied to cells on coverslips and cells or tissues in microfluidic chips, making it a useful tool for cell and molecular biology research.
References:
- Im K, Mareninov S, Diaz MFP, Yong WH. An Introduction to Performing Immunofluorescence Staining. Methods Mol Biol. 2019;1897:299-311. doi: 10.1007/978-1-4939-8935-5_26. PMID: 30539454; PMCID: PMC6918834.
- Lim, Jeffrey Chun Tatt & Yeong, Joe & Lim, Chun Jye & Ong, Clara & Wong, Siew-Cheng & Chew, Valerie & Ahmed, Syed & Tan, Puay & Iqbal, Jabed. (2018). An automated staining protocol for 7-colour immunofluorescence of human tissue sections for diagnostic and prognostic use. Pathology. 50. 10.1016/j.pathol.2017.11.087.
Related content
Fluigent microfluidic research equipment presents OxyGEN
Interact with your instruments through an all-in-one screen to control and monitor pressures, flow rates, valve positions and more in real time. Other capabilities include the ability to build time-based protocols and automate any experiment.
Which instruments and packages to choose to replace old setups ?
The wide variety of solutions offered by Fluigent for use in microfluidic and nanofluidic applications provide more control, automation, precision, and usability. If you’re looking to replace high-precision syringe pumps or other conventional devices, we provide cutting-edge microfluidic systems and components that increase productivity.
Our innovative pressure-based microfluidic controllers are compatible with lab on a chip device and a wide variety of microfluidic technologies that will allow users to focus on the science, not on the setup.
Our microfluidic research equipment has been tested in a large number of applications in various industries (life science, water management, cosmetics , food, etc.). We offer flow and pressure controllers that ensure results with high precision and reproducibility due to their pulseless flow, sensors that control and monitor flow rate directly, microfluidic valves, vacuum and pressure sources, microfluidic chips for droplet generation and for organ-on-a-chip studies, and various accessories perfect for your set up.
What are the research applications possible?
Fluigent was the first company to introduce pressure-driven flow control to the microfluidic research market as opposed to conventional syringe and peristaltic pumps.
As a pioneer in microfluidics, we set the standard for microfluidic control and strive to stay on the cutting edge of science. We created content on microfluidics, microfluidic devices, comparison, and much more to share with the scientific community.
Our microfluidic research equipment allows us to obtain optimal and promising results in all fields of research. In cellular analysis, flow control is a very important parameter, allowing non-invasive studies at the single-cell level and improving precision.
In organ-on-a-chip & cell culture studies, microfluidics enables one the unique ability to control a cellular microenvironment with high spatiotemporal precision and to present cells with mechanical and biochemical signals in a more physiologically relevant context.
In cell biology, precise flow control, combined with microscopy tools and cell biology experiments, allows for the creation of an automated environment where the cell can grow in the relevant physiological environment.
In droplet & particle generation, our microfluidic equipment for research application allows users to carry out experiments where high monodispersity and reproducibility are required (digital PCR, single-cell encapsulation in droplets etc.), as well as in cases where an expensive API is used, as it greatly reduces waste.
Automating Neuronal Cell Immunofluorescence in Microfluidic Chips with Fluigent’s Aria
This application note outlines how Aria our automated perfusion system, in combination with the M-Switch 11-port/10-position bidirectional valve, facilitates parallel neuronal cell immunofluorescence of up to four microfluidic chips, allowing up to three different antibodies to be used simultaneously.
By automating the cell immunostaining process, users can significantly reduce the time and effort required while ensuring consistently immunolabeled cells with minimal cell damage and no antibody residue.
Introduction: Microfluidics enhances the efficiency of cell immunostaining
Microfluidic technology has revolutionized the field of cell biology research by providing researchers with unprecedented precision in controlling fluid dynamics at the microscale. Simultaneously, one of the most broadly accepted techniques in biology and biomedical research is immunofluorescence, which plays a pivotal role not only in deciphering protein expression but also in shedding light on the precise cellular or subcellular locations where the studied proteins are active. This versatile technique enables visualization of proteins within cells, whether they are in suspension, adherent to surfaces, in tissues, or even within 3D culture-derived spheroids.
Highly precise, multiplexed, and dynamic cellular analyses are achievable when combining microfluidics with cell immunostaining. However, manipulating cells within the confined dimensions of microfluidic chambers poses a unique set of challenges. When it comes to delicate neuronal cell immunofluorescence, there is an even greater need for meticulous handling to preserve the integrity of axons and dendrites.
The geometric constraints of these microfluidic chambers impose considerable limitations on fluid flow when it comes to perfusing the medium or changing solutions. Cells residing within these chambers are subjected to fluidic stresses that can lead to tearing or detachment of cells from their substrate.
Overcoming the limitations of manual cell immunofluorescence
To overcome these challenges and increase the quality and efficiency of cell immunostaining protocols within microfluidic chips, Fluigent’s automated sequential injection system, Aria, is proposed as an alternative to manual handling. When coupled with the M-Switch, this automated sequential injection system facilitates parallel neuronal cell immunofluorescence in up to four microfluidic chips. By automating the cell immunolabeling process, users can significantly reduce the time and effort required while ensuring consistently stained cells with minimal cell damage and no antibody residue.
This application note is authored by Maxime Poinsot, a PhD student at Institut de Neurosciences de la Timone and Fluigent. The application employs standard reagents, making it accessible and practical for researchers in the field.
Automated neuronal cell immunofluorescence protocol
Materials
Cells & standard immunofluorescence reagents:
- Progenitor neuron cells from rat embryos at 17.5 days of gestation
- Fixation solution: 4% paraformaldehyde PFA in PBS and 1% sucrose in PBS
- Permeabilization solution: 0.1% triton in PBS
- Blocking solution: 0.1% triton, 5% BSA, 2% donkey serum in PBS.
- Primary antibody: Anti-MAP2 mouse in blocking solution 1/800
- Secondary antibody: Anti mouse 488
- Hoechst 1/1000 in PBS to stain the cell nuclei.
Aria serial output:This system is a suitable tool for neuronal cell immunolabeling requiring very precise and gentle fluid perfusion to maintain cell integrity.
Confocal Microscope: Nikon Spinning Disk CSU-W1: The confocal microscope employed, a Nikon Spinning Disk CSU-W1 with a 10x objective, provided high-resolution imaging for neuron cell visualization. A 488 nm laser was used at 70% intensity with a 200 ms exposure time.
Microfluidic chip: The microfluidic chip (Figure 1) used for this application note is a homemade chip, fabricated using PDMS (Polydimethylsiloxane) with a curing agent ratio of 1 part curing agent to 10 parts of the base silicone, specifically utilizing Sylgard 184 as the base material.
Automated protocol for neuronal cell immunofluorescence experiments
- Cell culture & preparation: After a culture period of 14 days, cells are fixed outside Aria system, in order to prevent contaminating the internal system with PFA/sucrose solution (flow unit, M-Switch).
- Neuronal cell immunolabeling using Aria: For this application note, a typical cell immunostaining protocol is used (Figure 2). After cells are fixed, the microfluidic chip is loaded into Aria, and the standard steps for immunofluorescence are followed: permeabilization, blocking, staining with primary antibody and secondary antibody, nuclei staining, and final wash.
- Imaging using microscopy: After completing the entire protocol, the microfluidic chip is disconnected from Aria and the neuron cells are ready for imaging. This protocol allows for efficient immunostaining of up to 12 microfluidic chips in a day, with minimal user intervention.
- Aria unit preparation: To initiate the protocol, connect the Aria unit to an external pressure source and ensure it reaches a minimum pressure of 2.2 bar. Connect Aria to your computer and place reagents in the specified reservoirs as per the software protocol. The user-friendly Aria software allows for easy calibration and custom protocol creation, offering precise control and smooth automation for neuronal cell immunofluorescence experiments to ensure accurate and consistent results while optimizing the use of Aria.
Results: Very clean cell staining
Figure 4 shows progenitor neuron cells inside the microfluidic chip, stained using the Aria system. Cells are stained for microtubule-associated protein 2 via the anti-MAP2 antibody (green), and for nuclei via Hoechst dye.
As shown in the figure, Aria makes it possible to achieve very clean cell staining while preserving the very delicate neuronal cell structures, including axons and dendrites.
Webinar – Automating Cellular Immunolabeling in Microfluidics
What you’ll learn:
- Introduction to Fluigent’s expertise in the field of microfluidics and Organ-on-chip
- Aria: Fluigent’s automated sequential injection system
- Success story using Aria for neuron immunolabeling
- Have a live discussion with our experts and the option to discuss specific applications
Conclusion & outlook
Aria significantly enhances the quality of neuronal cell immunostaining, eliminating the risk of manual errors and saving researchers valuable time. This innovation streamlines workflows, improves data reliability, and holds great potential for advancing our understanding of complex biological processes, particularly in the future study of axonal rewiring within microfluidic chips.
Related product
Platform for Spatial Omics
Read more
11-port/10-position microfluidic valve
Read more
FLOW UNIT | FLOW UNIT +
Read more
Mimic Microphysiological Conditions in Organ-on-a-Chip Studies
Read more
Expertises
-
Microfluidic Application Notes Automated Immunofluorescence using Aria Read more
-
Microfluidics White Papers A review of Organ on Chip Technology – A White Paper Read more
-
Expert Reviews: Basics of Microfluidics Why Control Shear Stress in Cell Biology? Read more
-
Microfluidics White Papers An exploration of Microfluidic technology and fluid handling Read more
-
Expert Reviews: Basics of Microfluidics Application of microfluidic chip technology Read more
-
Expert Reviews: Basics of Microfluidics Microfluidics overview: History and Definition Read more
Adoption of organ-on-a-chip (OOAC) technologies can require microfabrication facilities to develop specialized models. This can limit adoption in research labs. Recognizing this barrier, at the Institut Pasteur de Lille, the team of E. Delannoy, A Grassart, et. al. has developed the 3DP-μGut, an accessible gut-on-chip model fabricated via desktop stereolithography (SLA) 3D printing.
In the publication Lab on a Chip (2025), Flow EZ flow controllers and the Omi OOAC Platform were used for continuous perfusion. By precisely controlling the flow rate, the platform achieved physiologically relevant epithelial maturation, sustained viability, and the ability to model complex host–microbe interactions under dynamic conditions. This represents a step toward broadening the use of organ-on-chip technology for biomedical research.
Figure 1: 3DP-μGut Model 3D structure, microbiota co-culture and shigella infection
*Delannoy E, Burette A, Janel S, Poiret S, Deboosere N, Daniel C, et al. Gut-on-chip methodology based on 3D-printed molds: a cost-effective and accessible approach. Lab Chip. 2025. doi: https://doi.org/10.1039/D5LC00147A
Gut-on-chip Design and Fabrication Approach
Flow modeling – a key parameter in chip design
The researchers designed a curved microchannel (750 µm × 750 µm × 11 mm) with computer-aided design (CAD) which mirrors anatomical curvature, enhancing physiological relevance (Fig 2). Molds for these channels were rapidly prototyped via desktop SLA 3D printing. The molds were cast in PDMS, top and bottom channels (with the PET membrane in-between) were bonded together, resulting in dual-channel chips.
This methodology emphasizes:
- Accessible fabrication suited to most biology labs
- Rapid iteration and batch design
- Methods to create thin layers of PDMS suitable for high-resolution live imaging
Figure 2: Illustration of the 3D printed mold. A) Schematical view of the microfluidic channels and dimensions. B) Simulated shear stress inside the chip geometry (in Pa). C) Measured velocities of fluorescent beads inside the microfluidic channel. D) CAD model of the 3DP-μGut mold E) close up photo of one of the printed patterns for a top channel mold. F) 3D reconstitution of the printed patterns imaged with a surfaced microscope.
To ensure physiological relevance, COMSOL Multiphysics was used to simulate flow within the curved channel.
- Laminar flow at ~60 µL/h — was found to be suitable to provide gentle shear stress and to preserve epithelial layers.
Simulations predicted uniform shear stress along the channel floor, with values in the range favorable for Caco-2 cell differentiation (typically <0.1 Pa for intestinal epithelium).
Perfusion and Flow Control
The 3DP-µGut was designed for compatibility with any perfusion system. In this study, the two Fluigent systems were compared:
- Flow EZ® Flow Controllers Set-up: for individual channel control modular system
- Omi OOAC Platform: Compact, automated, integrated platform adapted for biological use.
Both were connected via sterile tubing to culture medium reservoir, forming a closed-loop perfusion circuit for recirculation of media. As shown in Fig. 3, the Flow EZ set up provides a modular and adaptable system. The Omi is simpler to handle and set up with minimal tubing. The researcher used a Union connector in line to be able to disconnect the chip their convenience.
Figure 3: Flow EZ Perfusion Set-Up and Omi Platform with 3DP-µGut
Functional Impact of Controlled Perfusion in Gut-on-Chip Modelling
3D Epithelial Differentiation Mimicking In Vivo Tissue Architecture
Continuous perfusion in the 3DP-μGut had an impact on epithelial organization. Under flow rates of 60 µL/h by day 7, Caco-2 cells underwent polarization and formed dense monolayers with pronounced villus-like protrusions, closely resembling the three-dimensional microarchitecture of native intestinal epithelium (Fig 4).
Figure 4: Phase Contrast Imaging of Caco-2 Maturation 3DP-μGut maturation under flow conditions.. Top images: bar = 500 μm, bottom images: bar = 250 μm.
The shear stress generated by laminar flow acts as a physiological cue, promoting cytoskeletal remodeling and modulating gene expression patterns linked to differentiation. These findings demonstrate that the integration of controlled perfusion into the 3DP-μGut is beneficial for replicating the structural and functional complexity of the intestinal epithelium in vitro.
Confocal cross-sections revealed organized actin cytoskeletons along the apical surface (while perfused from basal side), tight junction proteins such as ZO-1 and adherents junction markers as E-cadherin formed continuous epithelial barriers (Fig.5). In contrast, static cultures displayed poorly developed junctional complexes and an overall flatter morphology.
Figure 5: Immunofluorescence Staining of Caco-2 cell inside 3DP-µGut A) top view, nucleus in blue (DAPI and actin in green, bar = 750 μm B) cross-section view, nucleus in blue (DAPI), tight junctions (ZO-1) in red and actin in green, bar = 100 μm
Culturing under Static vs Dynamic Conditions
When comparing the static 3DP-µGut system to perfused conditions, villus height measurements were significantly greater under perfusion than in the static model. No significant difference was observed between the Flow EZ setup and the Omi platform, as both systems use the same feedback mechanism to regulate flow rate. For perfusion and recirculation applications, the Omi and Flow EZ setups can be used interchangeably
Figure 6: Comparison of 3DP-µGut model under static and flow conditions A) and B) Immunofluorescence staining of the Caco-2 cells inside the 3DP-μGut devices under static or flow conditions A) top view, actin in yellow bar = 750 μm B) cross section view, nucleus in blue (DAPI), adherent junctions (E-cadherin) in red and actin in yellow, bar = 100 μm. C) Villi height measurement between static and flow conditions with Omi (automated flow system) and Flow EZ (stand-alone system).
Gut on chip modeling with microbial Co-culture and pathogen infection
The formation of a differentiated, three-dimensional (3D) intestinal epithelium within the 3DP-μGut was essential for stable co-culture with the human commensal strain L. plantarum NCIMB8826. In the 3D-differentiated system, L. plantarum achieved stable colonization over 24 hours (Fig. 7), while in poorly structured monolayers subjected to a flow, bacteria were progressively washed out (Fig. 7 C, D).
At the flow velocities measured in the chip, such bacterial loss is consistent with previously reported washout effects in flat environments. The villus-like topography increased the available surface area for bacterial adhesion and created protective low-shear niches, reducing the risk of bacterial detachment and enabling more persistent colonization.
Similarly, infection assays with Shigella flexneri revealed a significantly higher rate of bacterial adhesion and invasion in the 3D-structured epithelium compared to the flat monolayer configuration (Fig. 7B, E). Quantitative analysis demonstrated increased bacterial load and more extensive epithelial invasion in regions of low flow velocity within the 3D architecture. These results indicate that a biomimetic 3D structure not only supports stable colonization by commensals but also more accurately reproduces pathogenic invasion dynamics.
These findings highlight the importance of epithelial differentiation and 3D structuration in replicating physiologically relevant host–microbe interactions and maintaining a stable co-culture environment under continuous flow.
Figure 7: 3D μGut Model: Co-culture with L. plantarum (red) (A) and Infection with S. flexneri (green) (B) cale Bar = 1 mm (top), 500 μm (middle), 200 μm (bottom) C) L. plantarum count after retrieval from the 3DP-μGut. D) normalized L. plantarum density inside the 3DP-μGut over time E) Shigella flexneri bacterial area after infection
Conclusion and Future Directions
This gut on chip model methodology represents step forward to the accessibility of OOAC research and adopting cost-effective approach in biomedical research. It leverages technological advances with SLA 3D printing for rapid design and prototyping and precise flow-control technologies evolution for biology use. Dr Delannoy (2025) demonstrated the physiologically relevant epithelial maturation under flow, stable microbiological co-culture and pathogen infection. For future directions Delannoy et al. suggest several possible extensions:
- Integration with immune cells to model gut–immune interactions.
- Use of primary intestinal organoid-derived epithelium for patient-specific modeling.
- Addition of peristaltic motion using pneumatic actuation to mimic mechanical contractions.
- Real-time biosensing of TEER, oxygen, and pH for dynamic monitoring.
Such upgrades could turn the 3DP-μGut into a full-featured intestinal physiology platform capable of bridging fundamental research and preclinical testing.
Related Solutions
Related content
-
Expert Reviews: Basics of Microfluidics Optimizing Microfluidic Perfusion: Best Practices and Innovations Read more
-
Microfluidic Application Notes Controlling Flow Rate and Shear Stress with Omi™ to Study Endothelial Cell Response Read more
-
Microfluidic Application Notes Gut-on-Chip Model Development Using OOAC Platform, Omi Read more
-
Microfluidics Case Studies A multiplex microfluidic circuit for blood vessel-on-a-chip perfusion using Fluigent’s FlowEZ Read more
-
Microfluidics White Papers A review of Organ on Chip Technology – A White Paper Read more
-
Expert Reviews: Basics of Microfluidics Why Control Shear Stress in Cell Biology? Read more
-
Microfluidic Application Notes Development of a human gut-on-chip to assess the effect of shear stress on intestinal functions Read more

